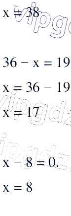
ОТВЕТ на задание № 3 Учебник по Математике 3 класс Моро Школа России
Учебник
часть 1 / страница 19 / 3

Решебник 2
часть 1 / страница 19 / 3

Решебник 3
часть 1 / страница 19 / 3

Решебник 4
часть 1 / страница 19 / 3

Решебник 5
часть 1 / страница 19 / 3

Решебник 6
часть 1 / страница 19 / 3


Решебник 7
часть 1 / страница 19 / 3

Решебник 8
часть 1 / страница 19 / 3

Все ГДЗ по Математике 3 класс Школа России