ОТВЕТ на задание № 12 Учебник по Математике 3 класс Моро Школа России
Решебник 2
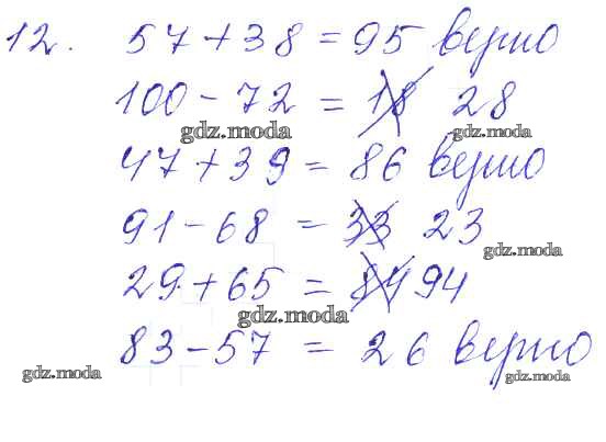
часть 1 / страница 29-31 / 12

Решебник 4
часть 1 / страница 29-31 / 12

Решебник 5
часть 1 / страница 29-31 / 12

Решебник 6
часть 1 / страница 29-31 / 12

Решебник 7
часть 1 / страница 29-31 / 12

Решебник 8
часть 1 / страница 29-31 / 12

Все ГДЗ по Математике 3 класс Школа России