ОТВЕТ на задание № стр.36 Учебник по Математике 3 класс Моро Школа России
Решебник 4
часть 1 / задания внизу страницы / стр.36

Решебник 5
часть 1 / задания внизу страницы / стр.36

Решебник 7
часть 1 / задания внизу страницы / стр.36

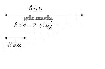
Решебник 8
часть 1 / задания внизу страницы / стр.36

Все ГДЗ по Математике 3 класс Школа России