ОТВЕТ на задание № 5 Учебник по Математике 3 класс Моро Школа России
Решебник 2
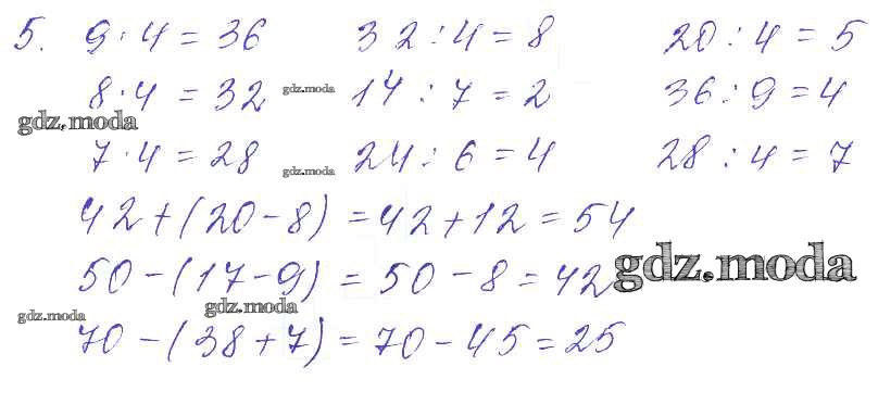
часть 1 / страница 36 / 5

Решебник 4
часть 1 / страница 36 / 5

Решебник 5
часть 1 / страница 36 / 5

Решебник 6
часть 1 / страница 36 / 5


Решебник 7
часть 1 / страница 36 / 5

Решебник 8
часть 1 / страница 36 / 5

Все ГДЗ по Математике 3 класс Школа России