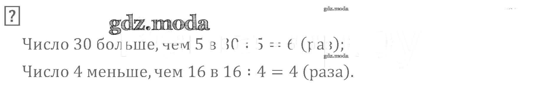
ОТВЕТ на задание № стр.41 Учебник по Математике 3 класс Моро Школа России
Решебник 4
часть 1 / задания внизу страницы / стр.41

Решебник 7
часть 1 / задания внизу страницы / стр.41

Решебник 8
часть 1 / задания внизу страницы / стр.41

Все ГДЗ по Математике 3 класс Школа России