ОТВЕТ на задание № 2 Учебник по Математике 3 класс Моро Школа России
Учебник
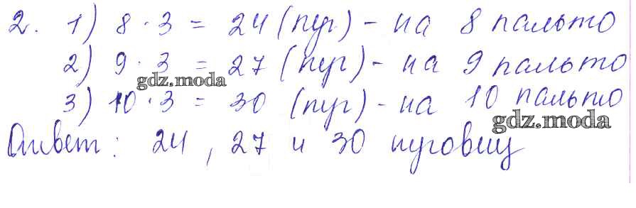
часть 1 / страница 72 / 2

Решебник 2
часть 1 / страница 72 / 2

Решебник 3
часть 1 / страница 72 / 2

Решебник 4
часть 1 / страница 72 / 2

Решебник 5
часть 1 / страница 72 / 2

Решебник 6
часть 1 / страница 72 / 2

Решебник 7
часть 1 / страница 72 / 2

Решебник 8
часть 1 / страница 72 / 2

Все ГДЗ по Математике 3 класс Школа России