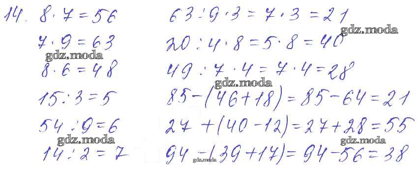
ОТВЕТ на задание № 14 Учебник по Математике 3 класс Моро Школа России
Решебник 2
часть 1 / страница 76-79 / 14

Решебник 3
часть 1 / страница 76-79 / 14

Решебник 4
часть 1 / страница 76-79 / 14

Решебник 5
часть 1 / страница 76-79 / 14

Решебник 6
часть 1 / страница 76-79 / 14


Решебник 7
часть 1 / страница 76-79 / 14

Решебник 8
часть 1 / страница 76-79 / 14

Все ГДЗ по Математике 3 класс Школа России