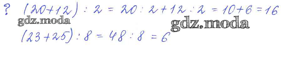
ОТВЕТ на задание № вопрос Учебник по Математике 3 класс Моро Школа России
Учебник
часть 2 / страница 13 / вопрос

Решебник 2
часть 2 / страница 13 / вопрос

Решебник 3
часть 2 / страница 13 / вопрос

Решебник 5
часть 2 / страница 13 / вопрос

Решебник 7
часть 2 / страница 13 / вопрос

Решебник 8
часть 2 / страница 13 / вопрос

Все ГДЗ по Математике 3 класс Школа России