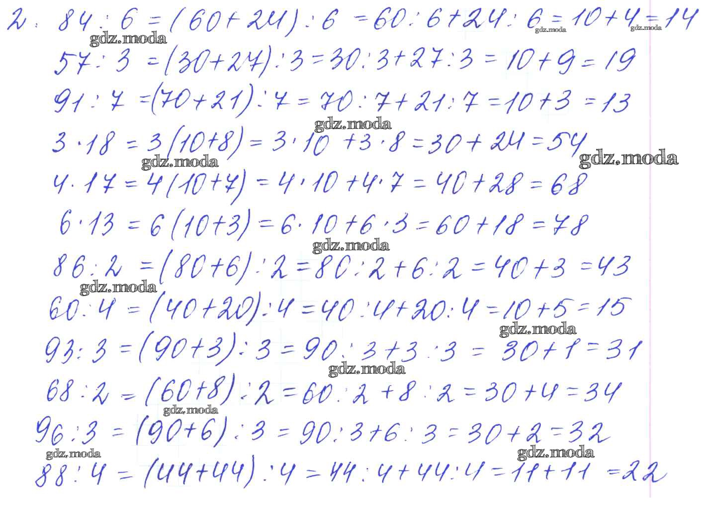
ОТВЕТ на задание № 2 Учебник по Математике 3 класс Моро Школа России
Решебник 2
часть 2 / страница 15 / 2

Решебник 3
часть 2 / страница 15 / 2

Решебник 4
часть 2 / страница 15 / 2

Решебник 5
часть 2 / страница 15 / 2

Решебник 7
часть 2 / страница 15 / 2

Решебник 8
часть 2 / страница 15 / 2


Все ГДЗ по Математике 3 класс Школа России