ОТВЕТ на задание № 6 Учебник по Математике 3 класс Моро Школа России
Учебник
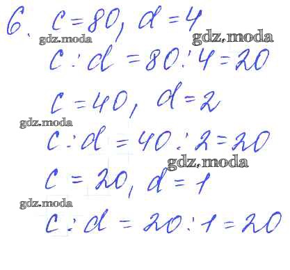
часть 2 / страница 19 / 6

Решебник 2
часть 2 / страница 19 / 6

Решебник 3
часть 2 / страница 19 / 6

Решебник 4
часть 2 / страница 19 / 6

Решебник 7
часть 2 / страница 19 / 6

Решебник 8
часть 2 / страница 19 / 6

Все ГДЗ по Математике 3 класс Школа России