ОТВЕТ на задание № 2 Учебник по Математике 3 класс Моро Школа России
Учебник
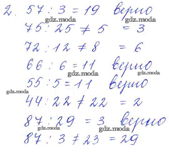
часть 2 / страница 24-25 / 2

Решебник 2
часть 2 / страница 24-25 / 2

Решебник 3
часть 2 / страница 24-25 / 2

Решебник 4
часть 2 / страница 24-25 / 2

Решебник 5
часть 2 / страница 24-25 / 2

Решебник 7
часть 2 / страница 24-25 / 2

Решебник 8
часть 2 / страница 24-25 / 2

Все ГДЗ по Математике 3 класс Школа России