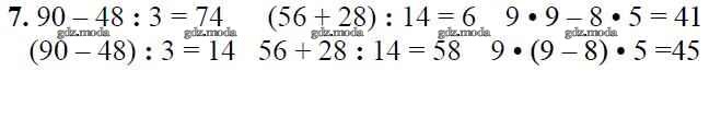
ОТВЕТ на задание № 7 Учебник по Математике 3 класс Моро Школа России
Решебник 2
часть 2 / страница 46 / 7

Решебник 3
часть 2 / страница 46 / 7

Решебник 4
часть 2 / страница 46 / 7

Решебник 5
часть 2 / страница 46 / 7


Решебник 7
часть 2 / страница 46 / 7

Решебник 8
часть 2 / страница 46 / 7

Все ГДЗ по Математике 3 класс Школа России