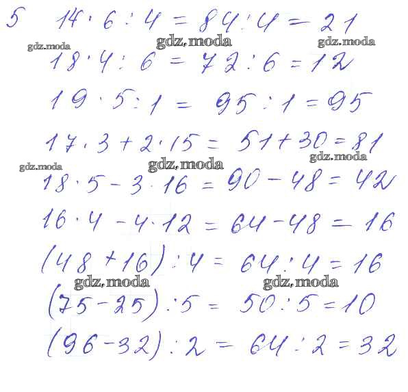
ОТВЕТ на задание № 5 Учебник по Математике 3 класс Моро Школа России
Решебник 2
часть 2 / страница 48 / 5

Решебник 3
часть 2 / страница 48 / 5

Решебник 4
часть 2 / страница 48 / 5

Решебник 5
часть 2 / страница 48 / 5


Решебник 7
часть 2 / страница 48 / 5

Решебник 8
часть 2 / страница 48 / 5

Все ГДЗ по Математике 3 класс Школа России