ОТВЕТ на задание № 10 Учебник по Математике 3 класс Моро Школа России
Учебник
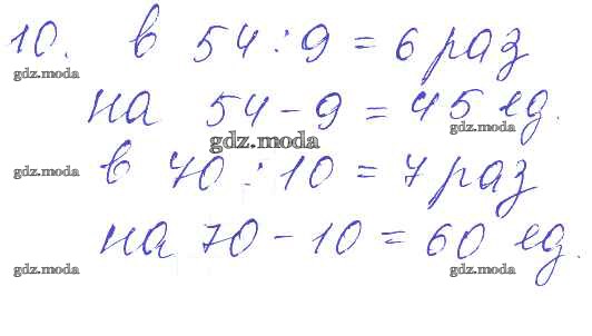
часть 2 / страница 58-61 / 10

Решебник 2
часть 2 / страница 58-61 / 10

Решебник 3
часть 2 / страница 58-61 / 10

Решебник 4
часть 2 / страница 58-61 / 10

Решебник 5
часть 2 / страница 58-61 / 10

Решебник 8
часть 2 / страница 58-61 / 10

Все ГДЗ по Математике 3 класс Школа России