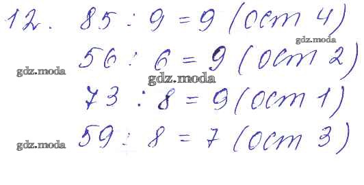
ОТВЕТ на задание № 12 Учебник по Математике 3 класс Моро Школа России
Учебник
часть 2 / страница 58-61 / 12

Решебник 2
часть 2 / страница 58-61 / 12

Решебник 3
часть 2 / страница 58-61 / 12

Решебник 4
часть 2 / страница 58-61 / 12

Решебник 5
часть 2 / страница 58-61 / 12


Решебник 7
часть 2 / страница 58-61 / 12

Решебник 8
часть 2 / страница 58-61 / 12

Все ГДЗ по Математике 3 класс Школа России