ОТВЕТ на задание № 31 Учебник по Математике 3 класс Моро Школа России
Учебник
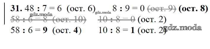
часть 2 / страница 58-61 / 31

Решебник 2
часть 2 / страница 58-61 / 31

Решебник 3
часть 2 / страница 58-61 / 31

Решебник 4
часть 2 / страница 58-61 / 31

Решебник 5
часть 2 / страница 58-61 / 31

Решебник 7
часть 2 / страница 58-61 / 31

Решебник 8
часть 2 / страница 58-61 / 31

Все ГДЗ по Математике 3 класс Школа России