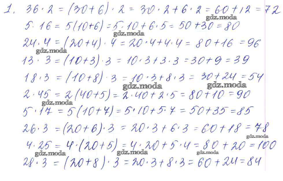
ОТВЕТ на задание № 1 Учебник по Математике 3 класс Моро Школа России
Учебник
часть 2 / страница 8 / 1

Решебник 2
часть 2 / страница 8 / 1

Решебник 3
часть 2 / страница 8 / 1

Решебник 4
часть 2 / страница 8 / 1

Решебник 5
часть 2 / страница 8 / 1


Решебник 7
часть 2 / страница 8 / 1

Решебник 8
часть 2 / страница 8 / 1

Все ГДЗ по Математике 3 класс Школа России