ОТВЕТ на задание № 4 Учебник по Математике 3 класс Моро Школа России
Учебник
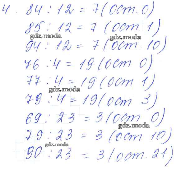
часть 2 / страница 91 / 4

Решебник 2
часть 2 / страница 91 / 4

Решебник 3
часть 2 / страница 91 / 4

Решебник 4
часть 2 / страница 91 / 4

Решебник 5
часть 2 / страница 91 / 4

Решебник 7
часть 2 / страница 91 / 4

Решебник 8
часть 2 / страница 91 / 4

Все ГДЗ по Математике 3 класс Школа России