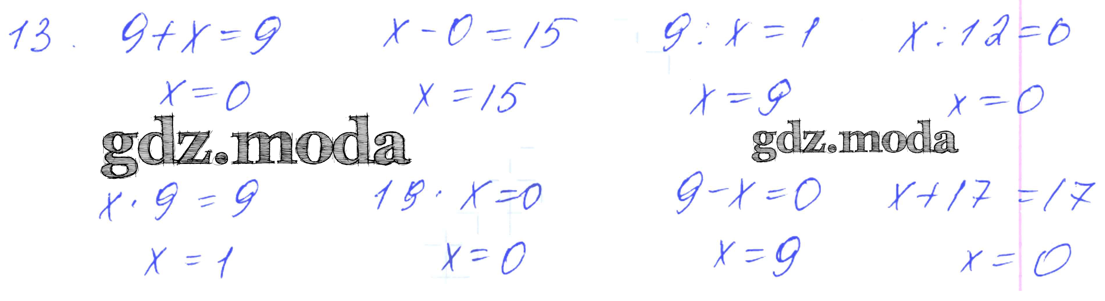
ОТВЕТ на задание № 13 Учебник по Математике 3 класс Моро Школа России
Учебник
часть 2 / страница 99-102 / 13

Решебник 2
часть 2 / страница 99-102 / 13

Решебник 3
часть 2 / страница 99-102 / 13

Решебник 4
часть 2 / страница 99-102 / 13

Решебник 5
часть 2 / страница 99-102 / 13


Решебник 7
часть 2 / страница 99-102 / 13

Решебник 8
часть 2 / страница 99-102 / 13

Все ГДЗ по Математике 3 класс Школа России