ОТВЕТ на задание № 2 Учебник по Математике 3 класс Рудницкая Начальная школа XXI века

Решебник 1

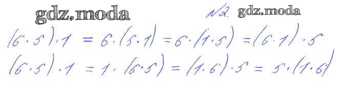
часть 1 / произведение трёх и более множителей / 2

Решебник 2

часть 1 / произведение трёх и более множителей / 2

Все ГДЗ по Математике 3 класс Начальная школа XXI века

ГДЗ решение к заданию № 2 Математика 3 класс Рудницкая В.Н. Вентана-граф 2016 Часть 1, Часть 2 ФГОС бесплатно на гдз.мода!