Классы
1 класс
2 класс
3 класс
4 класс
5 класс
6 класс
7 класс
8 класс
9 класс
10 класс
11 класс
Предметы
Алгебра
Английский язык
Белорусский язык
Биология
География
Геометрия
Естествознание
Информатика
Искусство
История
Кубановедение
Литература
Математика
Музыка
Немецкий язык
ОБЖ
Обществознание
Окружающий мир
Основы здоровья
Природоведение
Русский язык
Технология
Украинский язык
Физика
Французский язык
Химия
Человек и мир
Я исследую мир
ГДЗ
3 класс
Математика
самостоятельные работы Самсонова
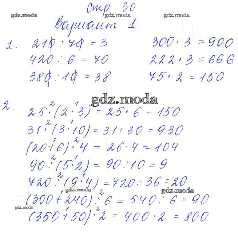
30
ОТВЕТ на задание № 30 Самостоятельные работы по Математике 3 класс Самсонова УМК
Показать содержание
← Предыдущее
Следующее →
Решебник
часть 2 / 30
Показать содержание
← Предыдущее
Следующее →
Все ГДЗ по
Математике 3 класс УМК
ГДЗ решение к заданию № 30 Математика 3 класс самостоятельные работы Самсонова Л.Ю. Экзамен 2016 Часть 1, Часть 2 ФГОС бесплатно на гдз.мода!