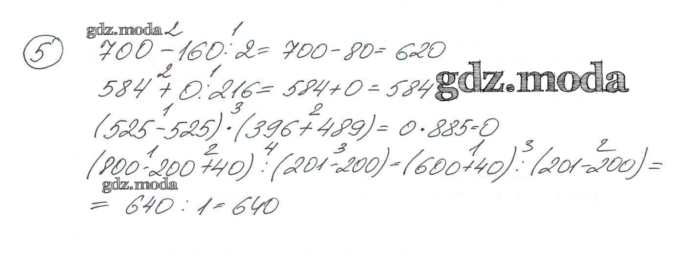
ОТВЕТ на задание № 5 Учебник по Математике 3 класс Петерсон Учусь учиться
Решебник 2
часть 1. упражнение / урок 8 / 5
Решебник 3
часть 1. упражнение / урок 8 / 5
Все ГДЗ по Математике 3 класс Учусь учиться