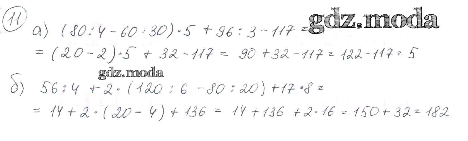
ОТВЕТ на задание № 11 Учебник по Математике 3 класс Петерсон Учусь учиться
Решебник 2
часть 1. упражнение / урок 14 / 11
Решебник 3
часть 1. упражнение / урок 14 / 11
Все ГДЗ по Математике 3 класс Учусь учиться