ОТВЕТ на задание № 6 Учебник по Математике 3 класс Петерсон Учусь учиться
Решебник 2
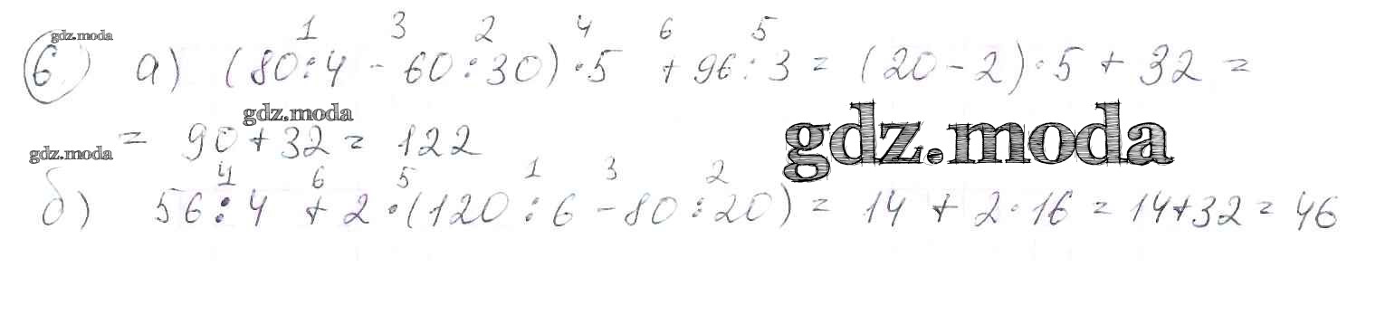
часть 1. упражнение / урок 25 / 6
Решебник 3
часть 1. упражнение / урок 25 / 6
Все ГДЗ по Математике 3 класс Учусь учиться