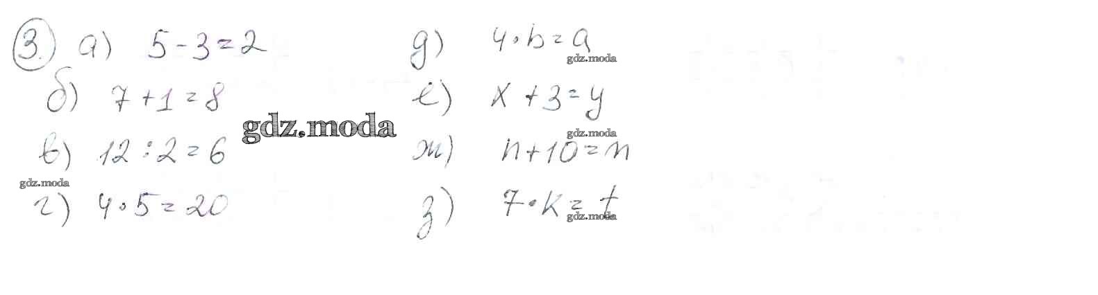
ОТВЕТ на задание № 3 Учебник по Математике 3 класс Петерсон Учусь учиться
Решебник 2
часть 2. упражнение / урок 26 / 3
Решебник 3
часть 2. упражнение / урок 26 / 3
Все ГДЗ по Математике 3 класс Учусь учиться