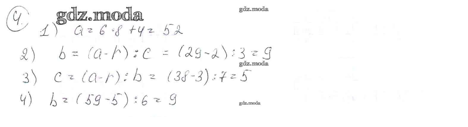
ОТВЕТ на задание № 4 Учебник по Математике 3 класс Петерсон Учусь учиться
Решебник 2
часть 2. упражнение / урок 33 / 4
Решебник 3
часть 2. упражнение / урок 33 / 4
Все ГДЗ по Математике 3 класс Учусь учиться