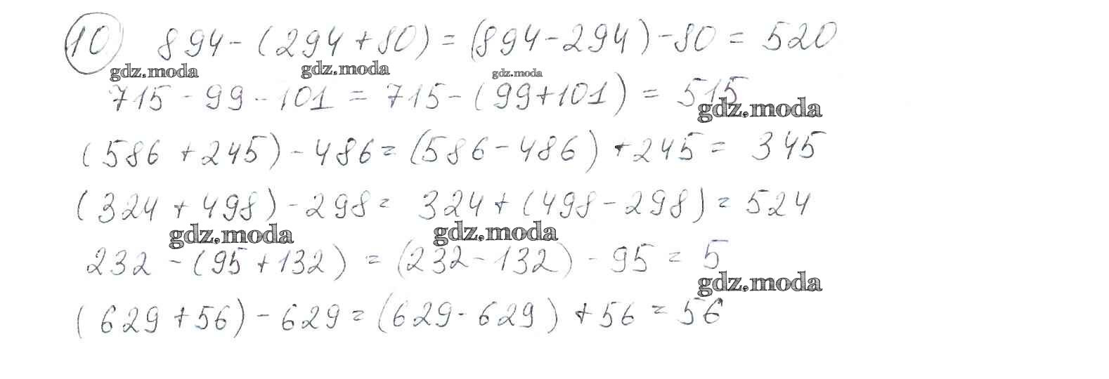
ОТВЕТ на задание № 10 Учебник по Математике 3 класс Петерсон Учусь учиться
Решебник 2
часть 3. упражнение / урок 4 / 10
Решебник 3
часть 3. упражнение / урок 4 / 10
Все ГДЗ по Математике 3 класс Учусь учиться