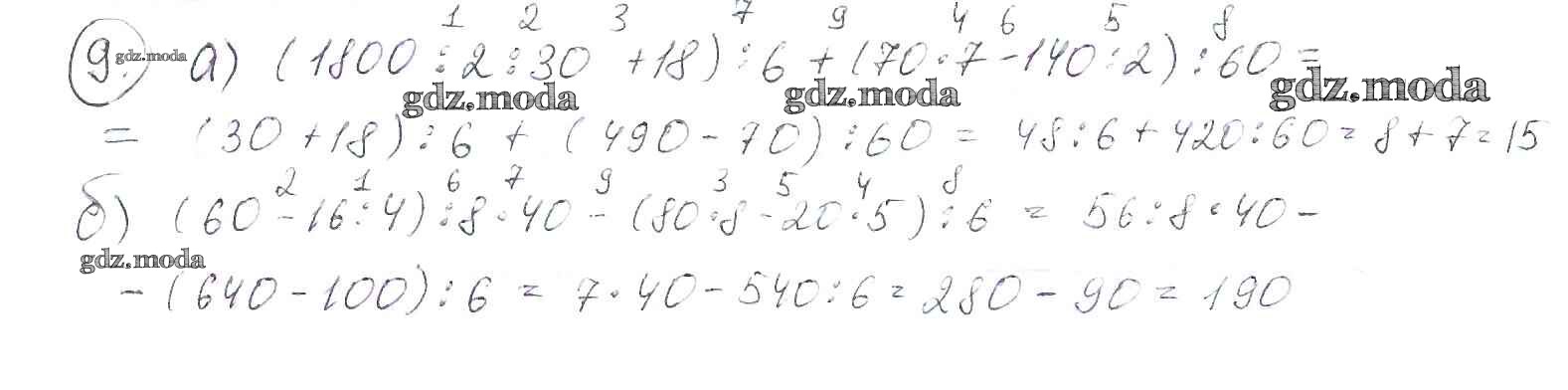
ОТВЕТ на задание № 9 Учебник по Математике 3 класс Петерсон Учусь учиться
Решебник 2
часть 3. упражнение / урок 7 / 9
Решебник 3
часть 3. упражнение / урок 7 / 9
Все ГДЗ по Математике 3 класс Учусь учиться