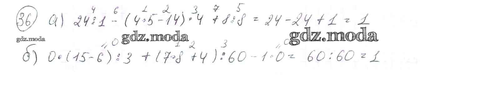
ОТВЕТ на задание № 36 Учебник по Математике 3 класс Петерсон Учусь учиться

ГДЗ решение к заданию № 36 Математика 3 класс Учусь учиться Петерсон Л.Г. Бином 2017 Часть 1, Часть 2, Часть 3 ФГОС бесплатно на гдз.мода!