ОТВЕТ на задание № 5 Учебник по Математике 3 класс Петерсон Учусь учиться
Решебник 2
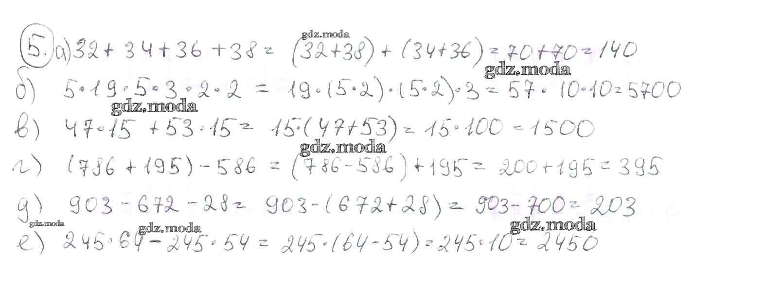
задача на повторение / 5
Решебник 3
задача на повторение / 5
Все ГДЗ по Математике 3 класс Учусь учиться