ОТВЕТ на задание № 1 Учебник по Математике 4 класс Башмаков Планета знаний
Решебник 1
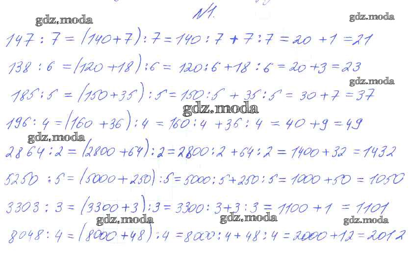
часть 1 / свойства деления. Делим круглые числа / 1

Решебник 2
часть 1 / свойства деления. Делим круглые числа / 1

Все ГДЗ по Математике 4 класс Планета знаний