ОТВЕТ на задание № 1 Учебник по Математике 4 класс Башмаков Планета знаний
Решебник 1
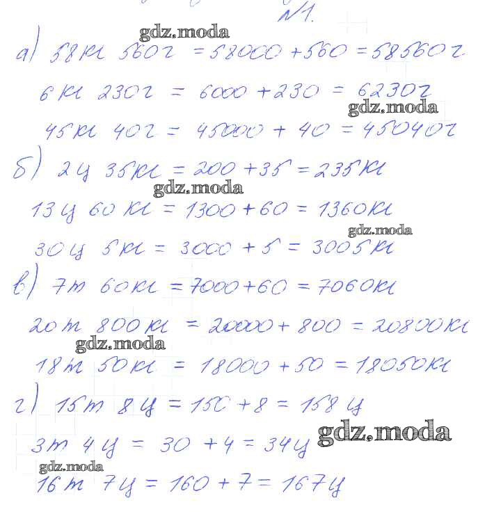
часть 2 / переводим единицы массы / 1

Решебник 2
часть 2 / переводим единицы массы / 1

Все ГДЗ по Математике 4 класс Планета знаний
Все ГДЗ по Математике 4 класс Планета знаний