Классы
1 класс
2 класс
3 класс
4 класс
5 класс
6 класс
7 класс
8 класс
9 класс
10 класс
11 класс
Предметы
Алгебра
Английский язык
Белорусский язык
Биология
География
Геометрия
Естествознание
Информатика
Искусство
История
Кубановедение
Литература
Математика
Музыка
Немецкий язык
ОБЖ
Обществознание
Окружающий мир
Основы здоровья
Природоведение
Русский язык
Технология
Украинский язык
Физика
Французский язык
Химия
Человек и мир
Я исследую мир
ГДЗ
4 класс
Математика
рабочая тетрадь Башмаков
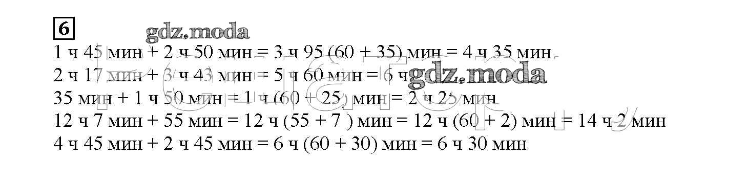
47
ОТВЕТ на задание № 47 Рабочая тетрадь по Математике 4 класс Башмаков Планета знаний
Показать содержание
← Предыдущее
Следующее →
Решебник 1
часть 2. страница / 47
Решебник 2
часть 2. страница / 47
Показать содержание
← Предыдущее
Следующее →
Все ГДЗ по
Математике 4 класс Планета знаний
ГДЗ решение к заданию № 47 Математика 4 класс рабочая тетрадь Башмаков М.И. Аст/Астрель 2016 Часть 1, Часть 2 ФГОС бесплатно на гдз.мода!