Классы
1 класс
2 класс
3 класс
4 класс
5 класс
6 класс
7 класс
8 класс
9 класс
10 класс
11 класс
Предметы
Алгебра
Английский язык
Белорусский язык
Биология
География
Геометрия
Естествознание
Информатика
Искусство
История
Кубановедение
Литература
Математика
Музыка
Немецкий язык
ОБЖ
Обществознание
Окружающий мир
Основы здоровья
Природоведение
Русский язык
Технология
Украинский язык
Физика
Французский язык
Химия
Человек и мир
Я исследую мир
ГДЗ
4 класс
Математика
учебник Чекин
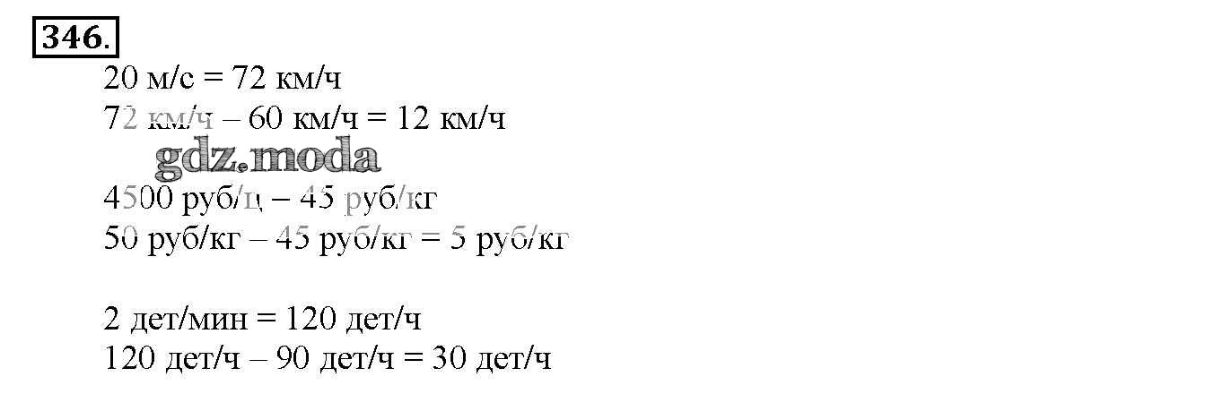
346
ОТВЕТ на задание № 346 Учебник по Математике 4 класс Чекин Перспективная начальная школа
Показать содержание
← Предыдущее
Следующее →
Решебник №1
часть 2 / 346
Решебник №2
часть 2 / 346
Решебник №3
часть 2 / 346
Решебник №4
часть 2 / 346
Показать содержание
← Предыдущее
Следующее →
Все ГДЗ по
Математике 4 класс Перспективная начальная школа
ГДЗ решение к заданию № 346 Математика 4 класс Чекин А.Л. Академкнига 2012 Часть 1, Часть 2 ФГОС бесплатно на гдз.мода!