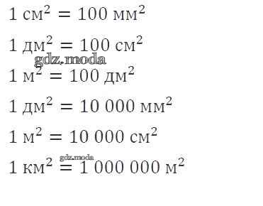
ОТВЕТ на задание № 178 Учебник по Математике 4 класс Моро Школа России

Решебник №1

часть 1 / упражнение / 178

Решебник №2

часть 1 / упражнение / 178

Решебник №3

часть 1 / упражнение / 178

Решебник №4

часть 1 / упражнение / 178

Решебник №5

часть 1 / упражнение / 178

Все ГДЗ по Математике 4 класс Школа России

ГДЗ решение к заданию № 178 Математика 4 класс Моро М.И. Просвещение 2015 Часть 1, Часть 2 ФГОС бесплатно на гдз.мода!