ОТВЕТ на задание № 27 Учебник по Математике 4 класс Моро Школа России

Решебник №1

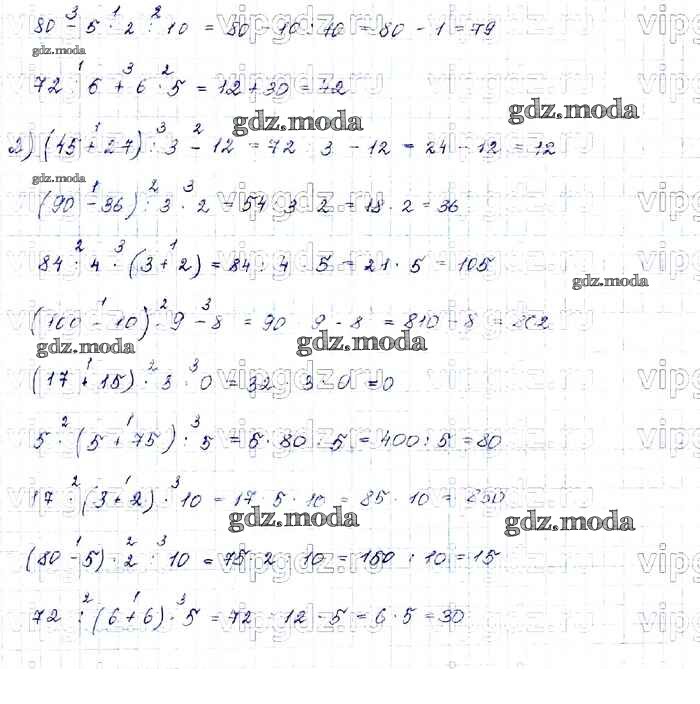
часть 1 / упражнение / 27

Решебник №2

часть 1 / упражнение / 27

Решебник №3

часть 1 / упражнение / 27

Решебник №4

часть 1 / упражнение / 27

Решебник №5

часть 1 / упражнение / 27

Все ГДЗ по Математике 4 класс Школа России

ГДЗ решение к заданию № 27 Математика 4 класс Моро М.И. Просвещение 2015 Часть 1, Часть 2 ФГОС бесплатно на гдз.мода!