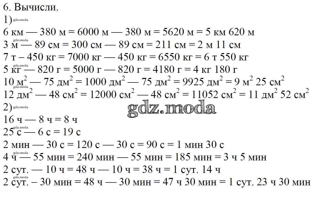
ОТВЕТ на задание № 6 Учебник по Математике 4 класс Моро Школа России

Решебник №1

часть 2 / что узнали чему научились / страницы 67 / 6

Решебник №2

часть 2 / что узнали чему научились / страницы 67 / 6

Решебник №3

часть 2 / что узнали чему научились / страницы 67 / 6

Решебник №4

часть 2 / что узнали чему научились / страницы 67 / 6

Решебник №5

часть 2 / что узнали чему научились / страницы 67 / 6

Все ГДЗ по Математике 4 класс Школа России

ГДЗ решение к заданию № 6 Математика 4 класс Моро М.И. Просвещение 2015 Часть 1, Часть 2 ФГОС бесплатно на гдз.мода!