Классы
1 класс
2 класс
3 класс
4 класс
5 класс
6 класс
7 класс
8 класс
9 класс
10 класс
11 класс
Предметы
Алгебра
Английский язык
Белорусский язык
Биология
География
Геометрия
Естествознание
Информатика
Искусство
История
Кубановедение
Литература
Математика
Музыка
Немецкий язык
ОБЖ
Обществознание
Окружающий мир
Основы здоровья
Природоведение
Русский язык
Технология
Украинский язык
Физика
Французский язык
Химия
Человек и мир
Я исследую мир
ГДЗ
4 класс
Математика
учебник Муравин
10
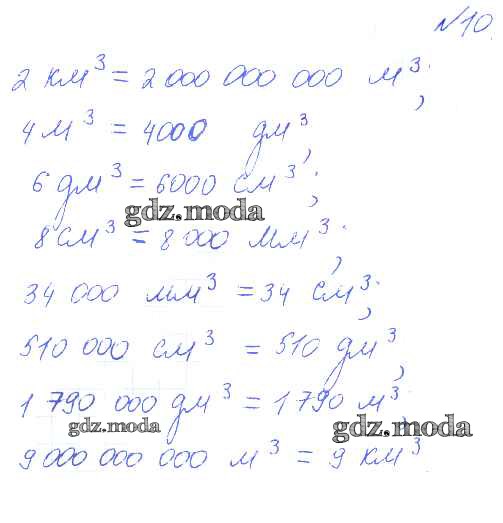
ОТВЕТ на задание № 10 Учебник по Математике 4 класс Муравин Ритм
Показать содержание
← Предыдущее
Следующее →
Решебник
параграф 22 / 10
Показать содержание
← Предыдущее
Следующее →
ГДЗ решение к заданию № 10 Математика 4 класс Муравин Г.К. Дрофа 2014 Часть 1, Часть 2 ФГОС бесплатно на гдз.мода!