ОТВЕТ на задание № 21 Рабочая тетрадь по Математике 4 класс Волкова Школа России
Решебник 1
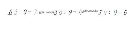
часть 1 / 21

Решебник 2
часть 1 / 21

Решебник 3
часть 1 / 21

Решебник 4
часть 1 / 21





Решебник 5
часть 1 / 21




Решебник 6
часть 1 / 21

Решебник 7
часть 1 / 21


Все ГДЗ по Математике 4 класс Школа России