Классы
1 класс
2 класс
3 класс
4 класс
5 класс
6 класс
7 класс
8 класс
9 класс
10 класс
11 класс
Предметы
Алгебра
Английский язык
Белорусский язык
Биология
География
Геометрия
Естествознание
Информатика
Искусство
История
Кубановедение
Литература
Математика
Музыка
Немецкий язык
ОБЖ
Обществознание
Окружающий мир
Основы здоровья
Природоведение
Русский язык
Технология
Украинский язык
Физика
Французский язык
Химия
Человек и мир
Я исследую мир
ГДЗ
5 класс
Математика
дидактические материалы Чесноков
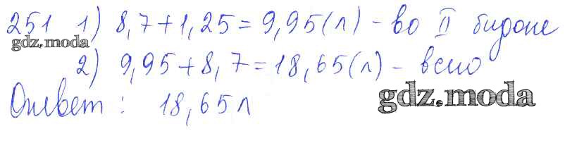
251
ОТВЕТ на задание № 251 Дидактические материалы по Математике 5 класс Чесноков
Показать содержание
← Предыдущее
Следующее →
Решебник 1
самостоятельная работа / вариант 2 / 251
Решебник 2
самостоятельная работа / вариант 2 / 251
Показать содержание
← Предыдущее
Следующее →
ГДЗ решение к заданию № 251 Математика 5 класс Дидактические материалы Чесноков А.С. Академкнига 2014 ФГОС бесплатно на гдз.мода!