Классы
1 класс
2 класс
3 класс
4 класс
5 класс
6 класс
7 класс
8 класс
9 класс
10 класс
11 класс
Предметы
Алгебра
Английский язык
Белорусский язык
Биология
География
Геометрия
Естествознание
Информатика
Искусство
История
Кубановедение
Литература
Математика
Музыка
Немецкий язык
ОБЖ
Обществознание
Окружающий мир
Основы здоровья
Природоведение
Русский язык
Технология
Украинский язык
Физика
Французский язык
Химия
Человек и мир
Я исследую мир
ГДЗ
5 класс
Математика
дидактические материалы Дорофеев
2
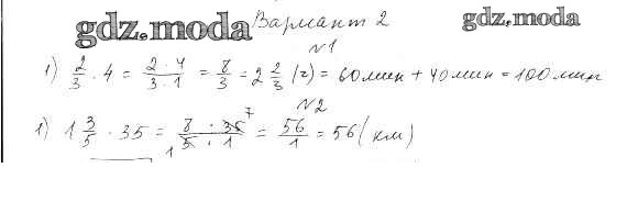
ОТВЕТ на задание № 2 Дидактические материалы по Математике 5 класс Дорофеев
Показать содержание
← Предыдущее
Следующее →
Решебник
проверочная работа 32. вариант / 2
Показать содержание
← Предыдущее
Следующее →
ГДЗ решение к заданию № 2 Математика 5 класс Дидактические материалы Дорофеев Г.В. Просвещение 2017 ФГОС бесплатно на гдз.мода!