Классы
1 класс
2 класс
3 класс
4 класс
5 класс
6 класс
7 класс
8 класс
9 класс
10 класс
11 класс
Предметы
Алгебра
Английский язык
Белорусский язык
Биология
География
Геометрия
Естествознание
Информатика
Искусство
История
Кубановедение
Литература
Математика
Музыка
Немецкий язык
ОБЖ
Обществознание
Окружающий мир
Основы здоровья
Природоведение
Русский язык
Технология
Украинский язык
Физика
Французский язык
Химия
Человек и мир
Я исследую мир
ГДЗ
5 класс
Математика
Герасимов
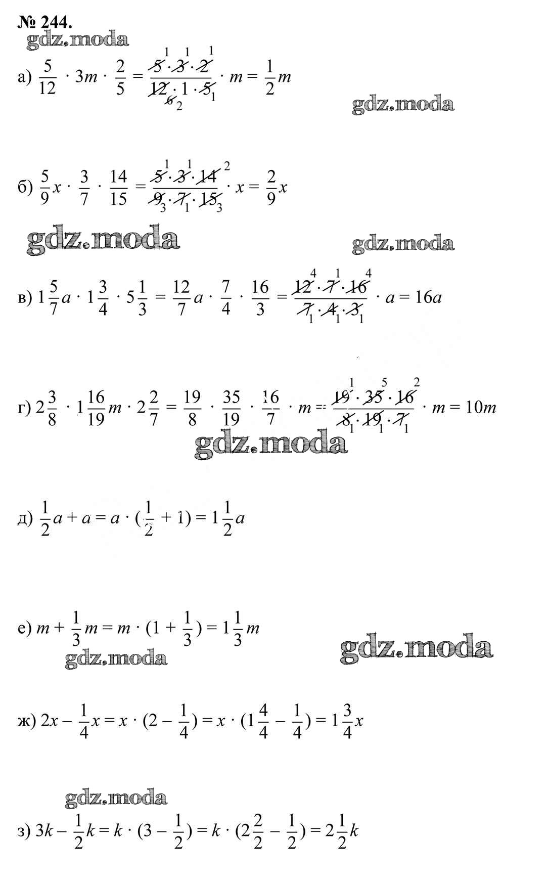
244
ОТВЕТ на задание № 244 Учебник по Математике 5 класс Герасимов
Показать содержание
← Предыдущее
Следующее →
Решебник
глава 3 / 244
Показать содержание
← Предыдущее
Следующее →
ГДЗ решение к заданию № 244 Математика 5 класс Герасимов В.Д. Образование и воспитание 2017 Часть 1, Часть 2 бесплатно на гдз.мода!