Классы
1 класс
2 класс
3 класс
4 класс
5 класс
6 класс
7 класс
8 класс
9 класс
10 класс
11 класс
Предметы
Алгебра
Английский язык
Белорусский язык
Биология
География
Геометрия
Естествознание
Информатика
Искусство
История
Кубановедение
Литература
Математика
Музыка
Немецкий язык
ОБЖ
Обществознание
Окружающий мир
Основы здоровья
Природоведение
Русский язык
Технология
Украинский язык
Физика
Французский язык
Химия
Человек и мир
Я исследую мир
ГДЗ
5 класс
Математика
Дидактические материалы Кузнецова
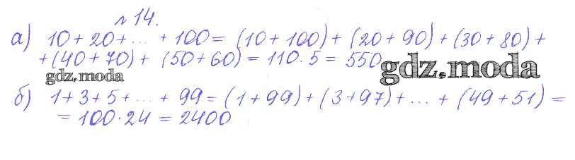
14
ОТВЕТ на задание № 14 Дидактические материалы по Математике 5 класс Кузнецова Академический школьный учебник
Показать содержание
← Предыдущее
Следующее →
Решебник
обучающая работа / о-20 / 14
Показать содержание
← Предыдущее
Следующее →
ГДЗ решение к заданию № 14 Математика 5 класс Дидактические материалы Кузнецова Л.В. Просвещение 2014 ФГОС бесплатно на гдз.мода!