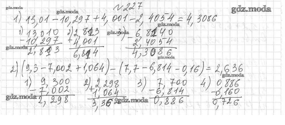
ОТВЕТ на задание № 227 Дидактические материалы по Математике 5 класс Мерзляк Алгоритм успеха

Решебник 1

упражнение / вариант 1 / 227

Решебник 2

упражнение / вариант 1 / 227

Решебник 3

упражнение / вариант 1 / 227

Все ГДЗ по Математике 5 класс Алгоритм успеха

ГДЗ решение к заданию № 227 Математика 5 класс Дидактические материалы Мерзляк А.Г. Вентана-граф 2017 ФГОС бесплатно на гдз.мода!