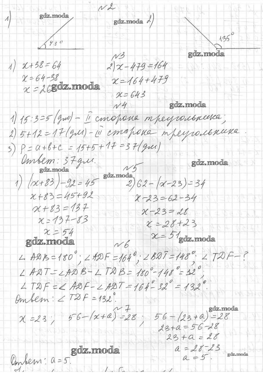
ОТВЕТ на задание № вариант 2 Дидактические материалы по Математике 5 класс Мерзляк Алгоритм успеха

Решебник 1

контрольная работа / кр №3 / вариант 2

Решебник 2

контрольная работа / кр №3 / вариант 2

Решебник 3

контрольная работа / кр №3 / вариант 2

Решебник 4

контрольная работа / кр №3 / вариант 2

Решебник 5

контрольная работа / кр №3 / вариант 2

Все ГДЗ по Математике 5 класс Алгоритм успеха

ГДЗ решение к заданию № вариант 2 Математика 5 класс Дидактические материалы Мерзляк А.Г. Вентана-граф 2017 ФГОС бесплатно на гдз.мода!