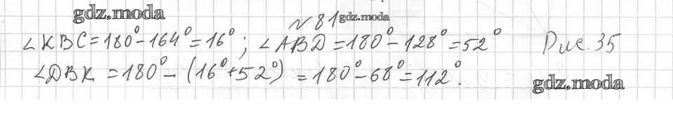
ОТВЕТ на задание № 81 Дидактические материалы по Математике 5 класс Мерзляк Алгоритм успеха

Решебник 1

упражнение / вариант 2 / 81

Решебник 2

упражнение / вариант 2 / 81

Решебник 3

упражнение / вариант 2 / 81

Все ГДЗ по Математике 5 класс Алгоритм успеха

ГДЗ решение к заданию № 81 Математика 5 класс Дидактические материалы Мерзляк А.Г. Вентана-граф 2017 ФГОС бесплатно на гдз.мода!