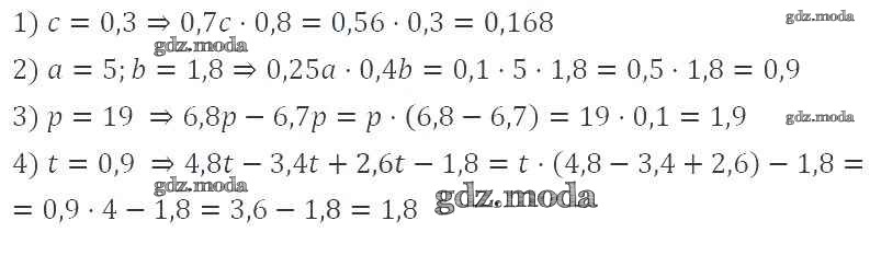
ОТВЕТ на задание № 234 Дидактические материалы по Математике 5 класс Мерзляк Алгоритм успеха

ГДЗ решение к заданию № 234 Математика 5 класс Дидактические материалы Мерзляк А.Г. Вентана-граф 2017 ФГОС бесплатно на гдз.мода!