ОТВЕТ на задание № VII Рабочая тетрадь по Математике 5 класс Ерина УМК
Решебник №1
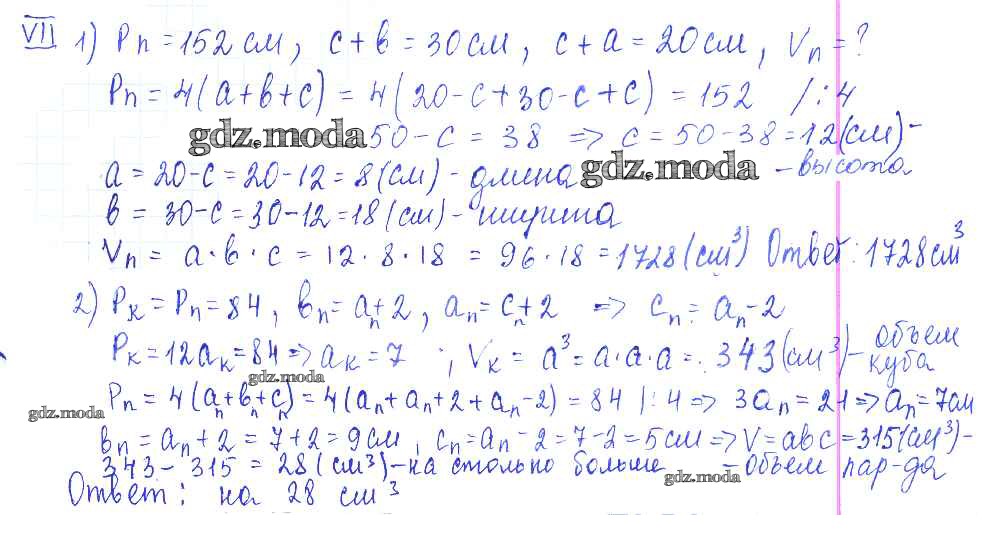
часть 1 / §4.21 / VII
Решебник №2
часть 1 / §4.21 / VII
Все ГДЗ по Математике 5 класс УМК