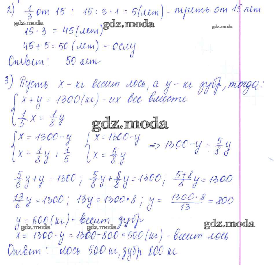
ОТВЕТ на задание № VIII Рабочая тетрадь по Математике 5 класс Ерина УМК

ГДЗ решение к заданию № VIII Математика 5 класс рабочая тетрадь Универсальные учебные действия Ерина Т.М. (к уч. Виленкина Н.Я.) Экзамен 2016 Часть 1, Часть 2 ФГОС бесплатно на гдз.мода!