ОТВЕТ на задание № VIII Рабочая тетрадь по Математике 5 класс Ерина УМК
Решебник №1
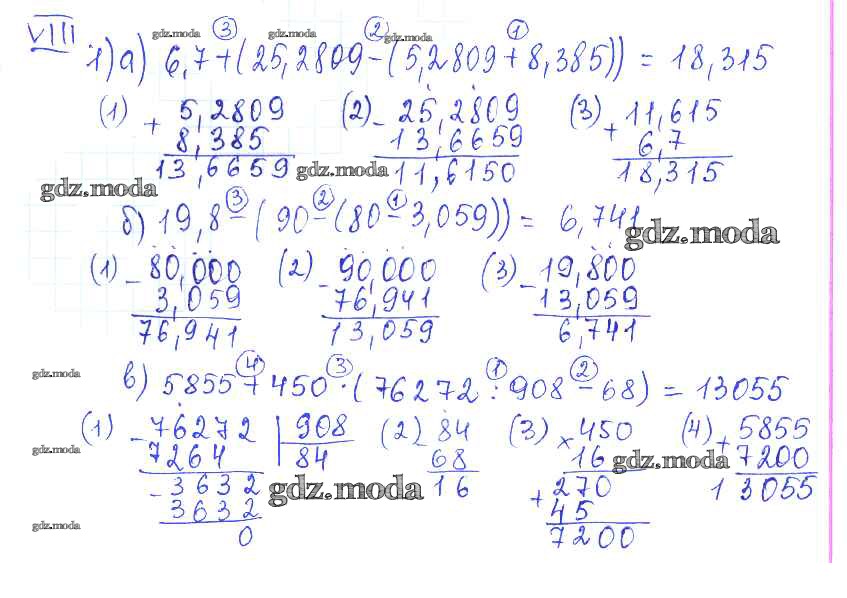
часть 2 / §6.33 / VIII
Решебник №2
часть 2 / §6.33 / VIII
Все ГДЗ по Математике 5 класс УМК